Startseite  >>  Lexika  >>  Polymere

Bakelit-Telefon Natürliche Polymere
Zu den natürlichen Polymeren zählen die Vielfachzucker, die Proteine, Lignin, Naturkautschuk und Asphalt. Die Rohstoffe aus Pflanzen und Tieren unterscheiden sich grundsätzlich in ihrem chemischen Aufbau. Die pflanzlichen Rohstoffe liefern Polymere aus Vielfachzuckern, den Polysacchariden. Die Zucker-Moleküle sind zu langen, kettenförmigen Verbindungen verknüpft. Zu ihnen zählen die Stärke und die Cellulose. Die tierischen Rohstoffe liefern Eiweiße. Bei ihnen schließen sich Aminosäuren zu spiralförmig aufgerollten Ketten zusammen. Seide und Wolle unterscheiden sich daher grundlegend im chemischen Aufbau von Baumwolle und Leinen.


Bild zoomen!Lupe



a) Pflanzliche Rohstoffe auf Cellulose-Basis

Cellulose
 
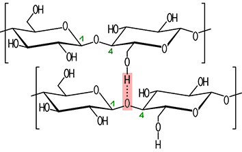
Cellulose ist das in der Natur am häufigsten vorkommende, natürliche Polymer und auch die am häufigsten vorkommende organische Verbindung. Cellulose bilden zusammen mit Lignin und Pektinen die Gerüstsubstanz für pflanzliche Zellwände. Bei den Tieren ist die Cellulose mit Ausnahme von einigen Manteltieren nicht zu finden. Das Makromolekül der Cellulose ist aus dem Zweifachzucker Cellobiose aufgebaut. Ein Cellobiose-Molekül enthält zwei Grundeinheiten der Glucose, die durch eine β-(1,4)-Verknüpfung miteinander verbunden sind. Cellulose-Polymere enthalten bis zu 5000 Glucose-Einheiten. Die zwischen den Makromolekülen befindlichen Wasserstoffbrückenbindungen verhindern eine spiralartige Drehung des Moleküls. Im Gegensatz zur Stärke ist das Makromolekül der Cellulose daher linear angeordnet.


 Bild zoomen!
Lupe
Cellulose-Struktur mit β-(1,4)-Verknüpfungen (grün)
und Wasserstoffbrückenbindung (rot) zwischen den Polymeren

 

Die Cellulose kann von den Enzymen vieler Organismen nicht verdaut werden. Die Ausnahme bilden holzzerstörende Pilze und die Pflanzenfresser. Im Magen der Rinder leben Mikroorganismen, die das Cellulose-Molekül in einzelne Glucose-Einheiten aufspalten können. Durch das Kochen von Cellulose in starken Säuren lässt sich das Polymer fast vollständig in einer sauren Hydrolyse in Glucose umwandeln, wobei auch Nebenprodukte auftreten können. Daher machen Säuretropfen Baumwollgewebe brüchig. Cellulose ist ein universeller Rohstoff für die Papier- und Textilindustrie. Darüber hinaus ist sie Ausgangsmaterial zur Herstellung zahlreicher Kunststoffe und Cellulose-Verbindungen. Cellulose ist in Wasser und den meisten organischen Lösungsmitteln unlöslich und lässt sich daher leicht von den anderen Bestandteilen der Pflanze abtrennen.
 
 
Holz

Holz ist der wichtigste Rohstoff für Papier. Er enthält einen Anteil von bis zu 50 Prozent an Cellulosefasern. Die Fasern sind mit mit dem Aromat Lignin fest verbunden, wodurch eine hohe Stabilität erreicht wird. Lignin ist ebenfalls ein natürliches Polymer. Es macht im Holz einen Anteil von 25 Prozent aus, während die restlichen Bestandteile aus aromatischen Ölen, Harzen und Hemicellulosen zusammengesetzt sind. Holz ist ein wichtiger Rohstoff für Cellulose-Produkte wie Papier und bestimmte Kunststoffe. Durch das Erhitzen unter Luftabschluss erhält man in einer Verkokung Holzkohle, die zum Heizen verwendet werden kann. Holz wird auch zur Herstellung von Synthesegas verwendet, die sekundären Inhaltsstoffe wie der Kautschuk, die Harze oder die Öle dienen zur Herstellung von Folgeprodukten wie Gummi, Lacken, Klebstoffen oder Duftstoffen.

 

Bild vergrößern!Lupe

Holz ist der wichtigste Rohstoff zur Zellstoffgewinnung und Papierherstellung  
 

Zellstoff und Holzstoff

Aus Holz und dem Stroh von cellulosehaltigen Pflanzen lässt sich Zellstoff gewinnen. Bei der Zellstoffgewinnung werden in einem chemischen Verfahren alle anderen Bestandteile der Pflanze wie Lignin von der Cellulose abgetrennt. Im Kraft-Verfahren erfolgt die Abtrennung durch das Kochen der Holzschnitzel in einer alkalischen Schwefelsalzlösung. Man erhält einen braunen Zellstoff, der sich zur Herstellung von Packpapier eignet. Zur Entfernung der braunen Farbe ist ein nachfolgendes Bleichen mit Chlor oder Sauerstoff notwendig. Beim Sulfit-Verfahren wird das Lignin in einer sauren Schwefelsalz-Lösung gekocht und abgetrennt. Der gewonnene Zellstoff des Sulfit-Verfahrens ist heller und weicher, dafür aber nicht so fest. Bei diesen beiden Verfahren wird nur die Hälfte des Holzes verarbeitet. Die andere Hälfte wird verbrannt und zur Energiegewinnung genutzt.

 
Früher stellte man den Faserstoff zur Herstellung von Papier auf mechanischem Weg her. Holzprügel wurden unter Zusatz von Wasser von einem großen, rotierenden Schleifstein zerfasert, um die Holzfasern aus dem Holz herauszureißen. Dieses Verfahren nennt man Holzschliff. Bei modernen mechanischen Verfahren, zum Beispiel beim CTMP-Verfahren, wird das Holz mit Wasserdampf und Chemikalien vorbehandelt. Allerdings ist mit diesem Verfahren ein erheblicher Energieverbrauch verbunden und der erhaltene Holzstoff ist zu grob für feine Papiersorten. Er eignet sich für billige Papiersorten wie Zeitungspapier.
 
Alle drei Verfahren führen zu einer erheblichen Umweltbelastung. Beim Kraft- und beim Sulfit-Verfahren werden giftige Gase wie Schwefeldioxid und Schwefelwasserstoff frei, weshalb eine Abluftanlage notwendig ist. Werden die ausgewaschenen Holzreste in die Gewässer gegeben, verbrauchen die Fasern dort Sauerstoff und führen zu einem Umkippen der Gewässer. Neuere Verfahren zur Zellstoffgewinnung wie das Allcell-Verfahren oder das Organocell-Verfahren lösen die begleitenden Holzstoffe mit Hilfe von organischen Lösungsmitteln bei erhöhter Temperatur und Druck aus dem Holz. Die Entwicklung und der Einsatz dieser Technologien tragen erheblich zur Reduzierung der Umweltbelastung bei.


Papier
 
Nach der Isolierung der Faserstoffe aus dem Holz werden sie zu einem festen Gebilde verfilzt. Zunächst wird der angelieferte Zellstoff mit Wasser zu einer Suspension aufbereitet. Der Suspension werden natürliche Mineralien als Füllstoffe zugegeben. Diese sparen Zellstoff und verleihen dem Papier bessere Eigenschaften, es wird dadurch weißer und undurchsichtiger. Die Zugabe von Leimstoffen wie Harze oder Alaun machen das Papier wasserabstoßend und verhindern das Zerfließen von Tinte. Farbstoffe geben dem Papier den gewünschten Farbton. Danach gelangt die Faserstoffmischung, die Pulpe, auf ein glattes Sieb, wird dort gleichmäßig verteilt, gewalzt oder gepresst und getrocknet.
 
 
Baumwolle
 
Baumwolle ist eine pflanzliche Naturfaser, die aus den Samenhaaren des zu den Malvengewächsen gehörenden Baumwollstrauches Gossypium gewonnen wird. Nach der Blüte des Strauches entwickelt sich eine Fruchtkapsel, aus der ein Bausch weißer Samenhaare herausragt. Die Länge der Haare variiert von einem bis zu sechs Zentimeter. Die größten Baumwollfelder finden sich im Südwesten der USA. Nach dem Sammeln und Reinigen der Samenhaare lässt sich durch Spinnen ein Garn erzeugen, das zur Herstellung von zahlreichen Produkten der Textilindustrie verwendet wird. Baumwolle lässt sich bleichen und färben (z.B. mit dem Küpenfarbstoff Indigo) und eignet sich auch zur Herstellung von Watte.
 

Bild zoomen!Lupe

Jeansstoff aus mit Indigo gefärbter Baumwolle  


Flachs, Leinen
 
Flachs ist eine natürliche Textilfaser, die aus dem blau blühenden Faserlein gewonnen wird. Der etwas kleinwüchsigere und mehr verzweigte Öl-Lein dient zur Herstellung von Leinöl. Die Leinpflanze ist eine der ältesten bekannten Kulturpflanzen, schon die alten Ägypter webten Leintücher aus Flachs, die heute teilweise noch an den Mumien erhalten geblieben sind. Beim Ernten wird die ganze Leinpflanze ausgerissen und zum Trocknen aufgeschichtet. Nach längerem Auslegen auf dem Boden, dem "Rösten", werden die Stängel getrocknet und gebrochen. Danach zieht man die Fasern über ein mit Nägeln besetztes Brett, um sie parallel auszurichten. Aus den erhaltenen Langfasern lassen sich Garne spinnen, aus denen Leinen gewebt wird. Sie eignen sich auch zur Herstellung von Zwirn oder von Schnürbändern.
 

Bild vergrößern!Lupe

Leinpflanze  Linum usitatissum



Hanf
 
Hanf ist eine einjährige, bis zu drei Meter hohe Pflanze  Cannabis sativa , aus der starke und elastische Fasern gewonnen werden können. Die Stängel des Hanfs sind innen hohl und mit einer faserigen Rinde ausgekleidet. Die aus Cellulose bestehende Hanffaser kann bis zu 55 Zentimeter lang werden und ist damit die längste pflanzliche Nutzfaser. Die Faser wird zur Herstellung von besonders stabilem Material verwendet, zum Beispiel für Segeltücher, Seile und Verpackungsschnüre. Neuerdings werden auch Öko-Textilien aus Hanf gefertigt. Das aus den weiblichen Blütenständen abgesonderte Harz und auch die Hanfsamen werden als Haschisch geraucht. Marihuana bezeichnet eine Mischung der Blätter, Triebe und Blütenstände des oberen Teils der weiblichen Pflanze.
 

Bild zoomen!Lupe

Hanfpflanze  Cannabis Sativa 
 

b) Produkte aus pflanzlichen Rohstoffen auf Cellulose-Basis

Viskosefasern
 
Genau genommen ist die Viskosefaser keine natürliche Faser. Sie wird zwar aus dem natürlichen Rohstoff Holzzellstoff gewonnen, aber die Herstellung der Faser erfolgt auf chemischem Weg. Der von den Zellstofffabriken angelieferte Zellstoff wird zunächst mit konzentrierter Natronlauge versetzt. Dies bewirkt ein Aufquellen der Cellulose. Die Polymere werden dabei in kürzere Ketten zerlegt. Durch die Zugabe von Schwefelkohlenstoff bildet sich als Zwischenprodukt Cellulose-Xanthogenat, eine orangegelbe, zähflüssige Masse, die auch als Viskose bezeichnet wird. Nach der Zugabe von verdünnter Natronlauge erhält man eine Lösung, die durch Spinndüsen in ein Säurebad gepresst wird. Dabei zerfällt die Viskose und man erhält regenerierte Cellulose in Form von feinen Fäden. Bei diesem Vorgang entstehen äußerst giftige Zersetzungsprodukte wie Schwefelwasserstoff und Schwefelkohlenstoff, die leicht brennbar sind und mit der Luft explosionsfähige Gemische bilden. Viskosefasern besitzen einen seidenähnlichen Glanz. Sie werden zu Garnen verarbeitet und in der Textil- und Möbelindustrie vielfältig eingesetzt. Aus der Viskoselösung lässt sich auch eine regenerierte Cellulose in Folienform gewinnen. Diese ist im Handel unter dem Namen Cellophan bekannt.
 
 
Celluloseacetat (CA)
 
Celluloseacetat ist ein Ester der Cellulose, der schon im Jahre 1865 entdeckt wurde. Aber erst 1904 entwickelte man ein Produkt, aus dem sich Folien und Filme fertigen ließen. Bei der Herstellung werden die OH-Gruppen der Cellulose mit Essigsäureanhydrid unter Zugabe von Schwefelsäure zu Cellulosetriacetat verestert. Durch Erwärmen und die Zugabe von Wasser wird ein geringer Anteil des Acetat-Gruppen wieder abgespalten und man erhält die Acetylcellulose, die im Molekülbau kürzere Ketten aufweist. Acetylcellulose ist in Aceton löslich, aus ihr lassen sich Acetat-Fasern spinnen. Diese Fasern wurden früher als Kunstseide bezeichnet. Der Begriff ist jedoch heute nicht mehr üblich, da er mit Seide eigentlich nichts zu tun hat. In Kombination mit Weichmachern erhält man einen thermoplastischen Kunststoff, der zur Herstellung von Griffen bei Werkzeugen, Tastaturen, Lenkrädern oder Kugelschreibern eingesetzt wird.
 

 Bild zoomen!Lupe

Griffe von Werkzeugen aus Celluloseacetat




Celluloid, Zellhorn
 
Um 1900 wurden jährlich noch 12000 Elefanten zur Gewinnung von Elfenbein aus ihren Stoßzähnen getötet. Elfenbein wurde vor allem für Billardkugeln und Klaviertastaturen benötigt. Kleine Unebenheiten der Billardkugeln verärgerten um 1870 einen amerikanischen Billardspieler dermaßen, dass er eine Belohnung von 10000 Dollar für die Herstellung eines besseren Materials bot. Etwa zur gleichen Zeit gelang es den Brüdern Hyatt aus Baumwolle ein neues Material herzustellen. Durch die Behandlung von Baumwolle mit konzentrierter Salpetersäure und konzentrierter Schwefelsäure (Nitriersäure) erhält man Schießbaumwolle (ein >Ester der Cellulose). Diese eignet sich als Sprengstoff und in abgeschwächter Form als Schießpulver. Durch das Lösen der Schießbaumwolle in einem Gemisch aus Alkohol und Campher erhielten die Brüder Hyatt einen Stoff, der durchsichtig wie Glas und zäher als Leder war.
 

 Bild zoomen!Lupe

Tischtennisbälle aus Celluloid



Das erhaltene Celluloid konnte man färben, und es schmolz bereits bei niedrigen Temperaturen ohne zu zerfließen. Damit war Celluloid der erste industriell hergestellte, thermoplastische Kunststoff. Die Eigenschaften des Celluloids ermöglichte den Brüdern Hyatt auch die Konstruktion der ersten Spritzgießmaschine. Die hohe Zähigkeit und Transparenz des Celluloids ermöglichte einen Einsatz als Trägermaterial für Filme in der Fotografie und im Kino. Aufgrund seiner leichten Entflammbarkeit wurde es später durch andere Kunststoffe ersetzt. Heute wird das Celluloid noch zur Herstellung von Tischtennisbällen, Knöpfen, Kämmen oder von Brillengestellen verwendet.
 
 
c) Tierische Rohstoffe auf Protein-Basis

Einige tierische Rohstoffen werden als Polymere selbst oder zur Herstellung von Polymeren verwendet. Casein-Formaldehyd entsteht durch die Härtung von natürlichen Eiweißen aus Milch oder Eiern mit Formaldehyd. Auch die Naturfasern Wolle und Seide enthalten Polymere auf Eiweiß-Basis.

Wolle
 
Aus den Tierhaaren des Hausschafes lässt sich Schafwolle gewinnen. Zur Wollgewinnung werden die Schafe einmal jährlich geschoren. Im erweiterten Sinne versteht man unter Wolle auch andere tierische Textilfasern, beispielsweise die Unterhaare des südamerikanischen Lamas (Lamawolle, Alpakawolle), der Kaninchen (Angorawolle) oder der Ziegen (Kaschmirwolle, Mohairwolle). Wolle besteht im wesentlichen aus den zu den Faserproteinen zählenden Keratinen. Bei der Wolle sind die Protein-Moleküle spiralförmig aufgerollt, was die Elastizität der Faser erklärt.
 
Pro Schaf lassen sich drei bis fünf Kilogramm Wolle gewinnen. Bei der Schur wird dem Schaf das Fellkleid in einem Stück abgeschoren und man erhält das Vlies. Nach der Schur wird die Wolle durch Waschen zunächst vom Wollschweiß, der aus Wollfett und getrocknetem Schweiß besteht, gereinigt. Das Wollfett sondern die Schafe aus ihren Talgdrüsen ab, es dient ihnen zum Schutz des Felles. Wollfett wird zu Lanolin verarbeitet und dann in der Kosmetikindustrie als Salbengrundlage verwendet. Nach dem Trocknen wird die Schafwolle aufgezupft und zu einem Wollfaden versponnen.
  
Bild zoomen!Lupe

Wollfäden, die mit dem Beizenfarbstoff Krapp gefärbt wurden  
 

Beim starken Bewegen in kochendem Wasser verfilzen die Wollfasern. Durch Walken im Wasser lässt sich Wolle zu Filz verarbeiten. Filz ist ein relativ festes Material, das zur Herstellung von Kleidungsstücken, Schuhen oder Teppichunterlagen verarbeitet wird. Wolle ist säurebeständig, von verdünnten Laugen wird sie aber angegriffen, da die Polypetidbindungen gespalten werden. Wollfasern lassen sich gut mit Beizenfarbstoffen färben.
 
 
Seide
 
Das Herstellungsverfahren für Seide wurde schon vor mehr als 5000 Jahren in China entdeckt. Die Römer brachten den wertvollen Stoff über die berühmte und 10000 Kilometer lange Seidenstraße nach Europa. Die Seidenfaser wird aus den Kokons des Seidenspinners Bombyx mori gewonnen. Die Raupen des Schmetterlings erzeugen den Kokon mit Hilfe ihrer Spinndrüsen, um sich darin zu einem fertigen Schmetterling zu verpuppen. Die Seidenfäden der Raupen enthalten das Faserprotein Fibroin, das von der wasserlöslichen Bastsubstanz Sericin als Stütze umgeben ist. Der chemische Aufbau des langkettigen Eiweißmoleküls mit seinen Peptidbindungen ist den künstlichen Polyamiden sehr ähnlich. Ein einzelner Seidenfaden einer Raupe kann bis zu vier Kilometer lang werden!

 
Bild zoomen!Lupe Bild zoomen!Lupe
   

Die Kokons werden zusammen mit den Puppen abgeerntet und in einen Behälter mit heißem Seifenwasser gegeben. Die Puppen sterben dabei ab und die Bastsubstanz löst sich im Wasser. Aus 50000 Raupen erhält man etwa 120 Kilogramm Seide, pro Raupe etwa zwei Gramm. Durch Abhaspeln der Kokons erhält man Fäden, die durch Verdrehen zu einem seidenen Zwirnfaden verarbeitet werden. Seide fühlt sich weich und geschmeidig an, sie besitzt einen hohen Glanz, eine gute Wärmeisolierung bei geringem Gewicht und knittert nicht. Sie wird zu Krawatten, Schals, Kleidern, Kissen oder Bettwäsche verarbeitet.
 
 
Leder
 
Als Leder bezeichnet man die von Haaren oder Federn befreite Tierhaut, zum Beispiel von Rindern, Kälbern, Schweinen oder Ziegen. Sind die Haare noch vorhanden, handelt es sich um einen Pelz. Die Häute sind aus Kollagenen, die zu den Faserproteinen gehören, aufgebaut. Durch das Gerben werden die Häute gebrauchsfähig und haltbar gemacht. Die Gerberei ist eines der ältesten Gewerbe der Menschheit. Heute existieren eine Vielzahl an Verfahren für die verschiedenen Tierhäute, der Prozess ist äußerst kompliziert und langwierig.
 

Bild zoomen!Lupe
 

Die Haut der Säuger gliedert sich in Oberhaut, Lederhaut und Unterhaut. Zur Lederherstellung wird meist nur die Lederhaut benötigt, in ihr befindet sich das stabile Bindegewebe und die Muskeln. Vor dem Gerben wird die Lederhaut durch chemische Verfahren von der Oberhaut und den Haaren befreit. Ein Gemisch aus Natriumsulfid und Kalkmilch weicht die Oberhaut auf, so dass sie sich leicht abziehen lässt. Das eigentliche Gerben erfolgt entweder mit pflanzlichen Stoffen oder mit Mineralsalzen. Das Gerben mit Alaun- oder Chromsalzen lässt das Leder schrumpfen und liefert ein haltbares und dehnbares Leder für Bekleidung, Schuhe und Taschen. Beim Gerben mit pflanzlichen Stoffen wird Gerbsäure eingesetzt, das man aus Hölzern oder Pflanzengallen gewinnt. Mit Tannin gegerbte Leder sind besonders wasserfest und eignen sich für Schuhsohlen oder Polster.
 
 
Gelatine
 
Gelatine ist ein Polypetid, das vorwiegend aus Schlachtabfällen wie Haut und Knochen gewonnen wird. Sie enthält einen hohen Anteil an Kollagen, einem Faserprotein, das in den Bindegeweben vorkommt. Bis auf Tryptophan enthält sie alle essentiellen Aminosäuren und eignet sich daher als gut verdauliche Nahrungskomponente. Sie ist als Pulver oder in dünnen Platten im Handel erhältlich. In warmem Wasser quillt Gelatine auf und erstarrt zu einer gallertartigen Lösung. Gelatine wird zur Herstellung von Geleespeisen wie Götterspeise oder von Puddings, Sülzen, Speiseeis und Joghurt verwendet. In der Pharmazie dient sie als Bindemittel für Tabletten und zur Herstellung von Kapseln. In der Kosmetik ist sie ein weit verbreiteter Salben- und Cremebestandteil.
 
Seit dem Auftreten der Rinderseuche BSE hat sich bei den Verbrauchern Unsicherheit breit gemacht. Nach Angaben der Hersteller werden die zur Krankheits-Übertragung notwendigen, aktiven Eiweiße bei der Gelatine-Verarbeitung zerstört, selbst wenn ein krankes Rind aufgrund einer fehlenden Kontrolle verarbeitet wird. Solange die Übertragungswege bei Krankheiten wie Kreutzfeld-Jakob noch nicht eindeutig geklärt sind, bleibt jedoch ein Unsicherheitsfaktor bestehen.

© Thomas Seilnacht / Benutzerhandbuch / Lizenzbestimmungen / Impressum / Datenschutz / Literaturquellen